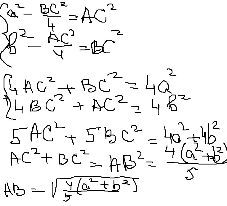
Медианы, проведенные к катетам пря моугольного треугольника, равны a и b . Найти гипотенузу треугольника.
Ответы
Ответ дал:
0
почерк не очень.. но решение держите
Приложения:

Вас заинтересует
2 года назад
7 лет назад
7 лет назад
9 лет назад