• Предмет: Алгебра
  • Автор: Аноним
  • Вопрос задан 10 лет назад

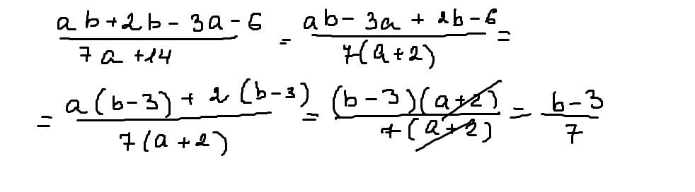
Допоможіть скоротити дріб
ab+2b-3a-6
_________(риска дробу)
7a+14

Ответы

Ответ дал: esmilya
0
Решениееееееееееееееееееееееееееееееее
Приложения:
Вас заинтересует