Ответы
Ответ дал:
0
1
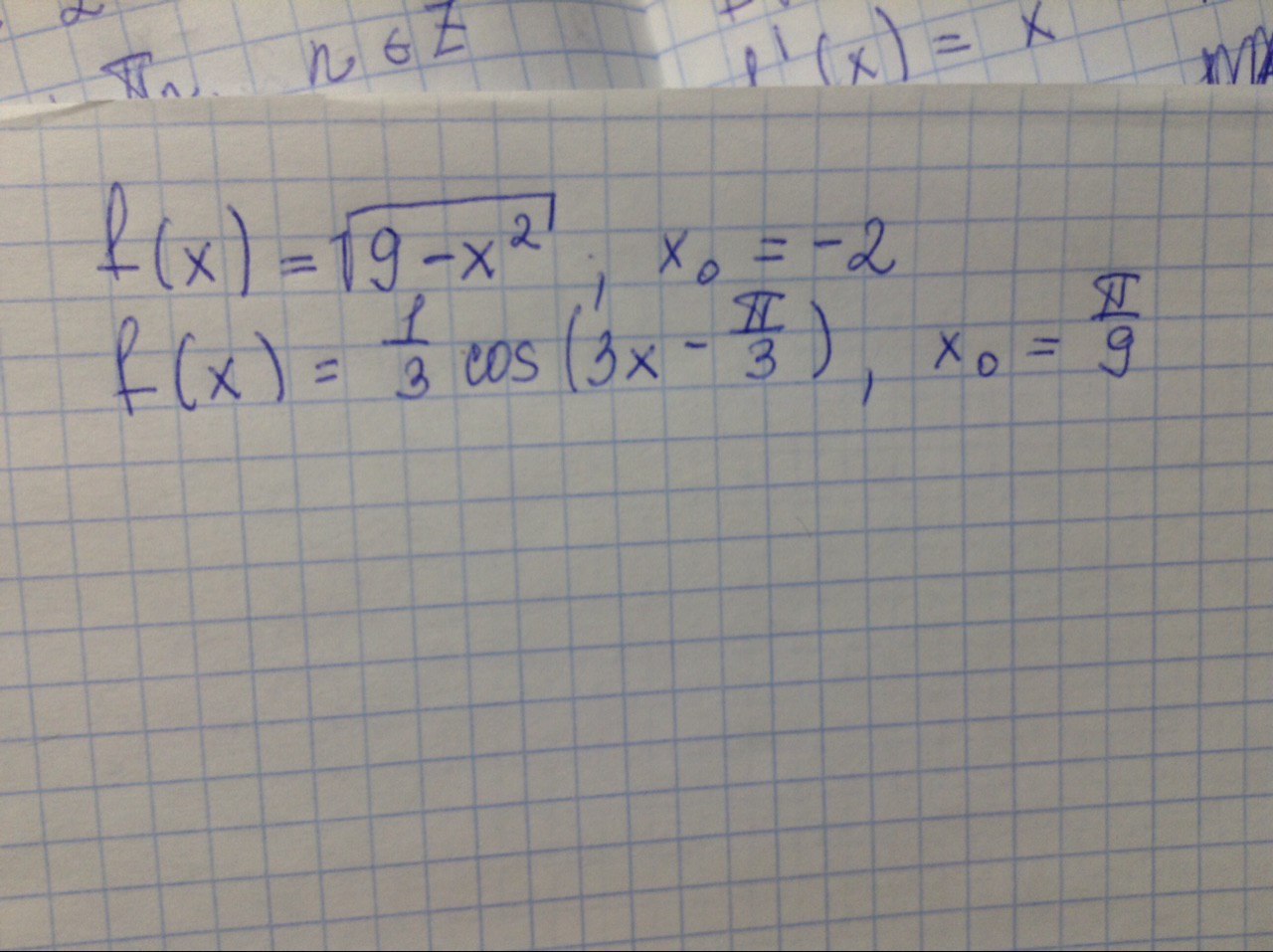
f`(x)=-2x/2√(9-x²)=-x/√(9-x²)
f`(-2)=2/√(9-4)=2/√5
2
f`(x)=-1/3*sin(3x-π/3)*3=-sin(3x-π/3)
f`(π/9)=-sin(π/3-π/3)=0
f`(x)=-2x/2√(9-x²)=-x/√(9-x²)
f`(-2)=2/√(9-4)=2/√5
2
f`(x)=-1/3*sin(3x-π/3)*3=-sin(3x-π/3)
f`(π/9)=-sin(π/3-π/3)=0
Вас заинтересует
2 года назад
2 года назад
8 лет назад
10 лет назад
10 лет назад
10 лет назад