Ответы
Ответ дал:
0
Формулы: (a+b)² = a² +2ab + b²
(a-b)² = a² - 2ab + b²
(a-b)(a+b) = a² - b²
Ответ дал:
0
| - это корень
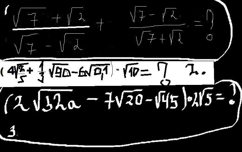
.....=((|7+|2)(|7+|2)+(|7-|3)(|7-|2)) / ((|7-|2)(|7+|2))=(7+2|14+2+7-2|14+2) /(7-2)=18/5=3 3/5=3,6
.
........=(4|(2/5)*|10+|10*|10-6|0,1*|10=4|4+10-6|1=8+10-6=12
.
...........=16|10а-170
1) 2|(32а)=2*|(16*2а)=8|(2а)
2) 7|20=14|5
3) |45=3|5
4) 8|2а *2|5=16|10а
5) 14|5 *2|5=28|25=28*5=140
6) 3|5 *2|5=6|25=30
7) 16|10а-140-30=16|10а-170
.....=((|7+|2)(|7+|2)+(|7-|3)(|7-|2)) / ((|7-|2)(|7+|2))=(7+2|14+2+7-2|14+2) /(7-2)=18/5=3 3/5=3,6
.
........=(4|(2/5)*|10+|10*|10-6|0,1*|10=4|4+10-6|1=8+10-6=12
.
...........=16|10а-170
1) 2|(32а)=2*|(16*2а)=8|(2а)
2) 7|20=14|5
3) |45=3|5
4) 8|2а *2|5=16|10а
5) 14|5 *2|5=28|25=28*5=140
6) 3|5 *2|5=6|25=30
7) 16|10а-140-30=16|10а-170
Вас заинтересует
2 года назад
2 года назад
7 лет назад
7 лет назад
10 лет назад
10 лет назад
10 лет назад