• Предмет: Химия
  • Автор: Wimp1
  • Вопрос задан 10 лет назад

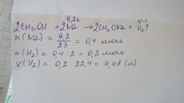
Вычислите объем водорода выделившегося при взаимодействии метанола с 9,2г натрий

Ответы

Ответ дал: Yana8
0
решение
задачи
на
фото
Приложения:
Вас заинтересует