Простейшие тригонометрические уравнения
Решите уравнение:
11. 2 cos t= корень из 2
12. 2 sin t+1=0
13. cos(2t+п4)=0
14. 2sin(t+п5)=корень из 2
15. tg(t2-п2)= - корень из 3
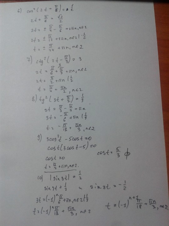
16.cos^2(2t+п6)=12
17.сtg^2(2t-п3)=3
18. tg^2(3t+п2)=13
19. 3cos^2t-5 cost=0
20. |sin 3t|=12
Ответы
Ответ дал:
0
да вроде бы все легко)))
Приложения:


Вас заинтересует
8 лет назад
8 лет назад
10 лет назад
10 лет назад
10 лет назад