• Предмет: Математика
  • Автор: maxambrosii
  • Вопрос задан 10 лет назад

Кто нибудь, пожалуйста помогите, очень сейчас надо!!!!!!

Приложения:

Ответы

Ответ дал: samodina
0

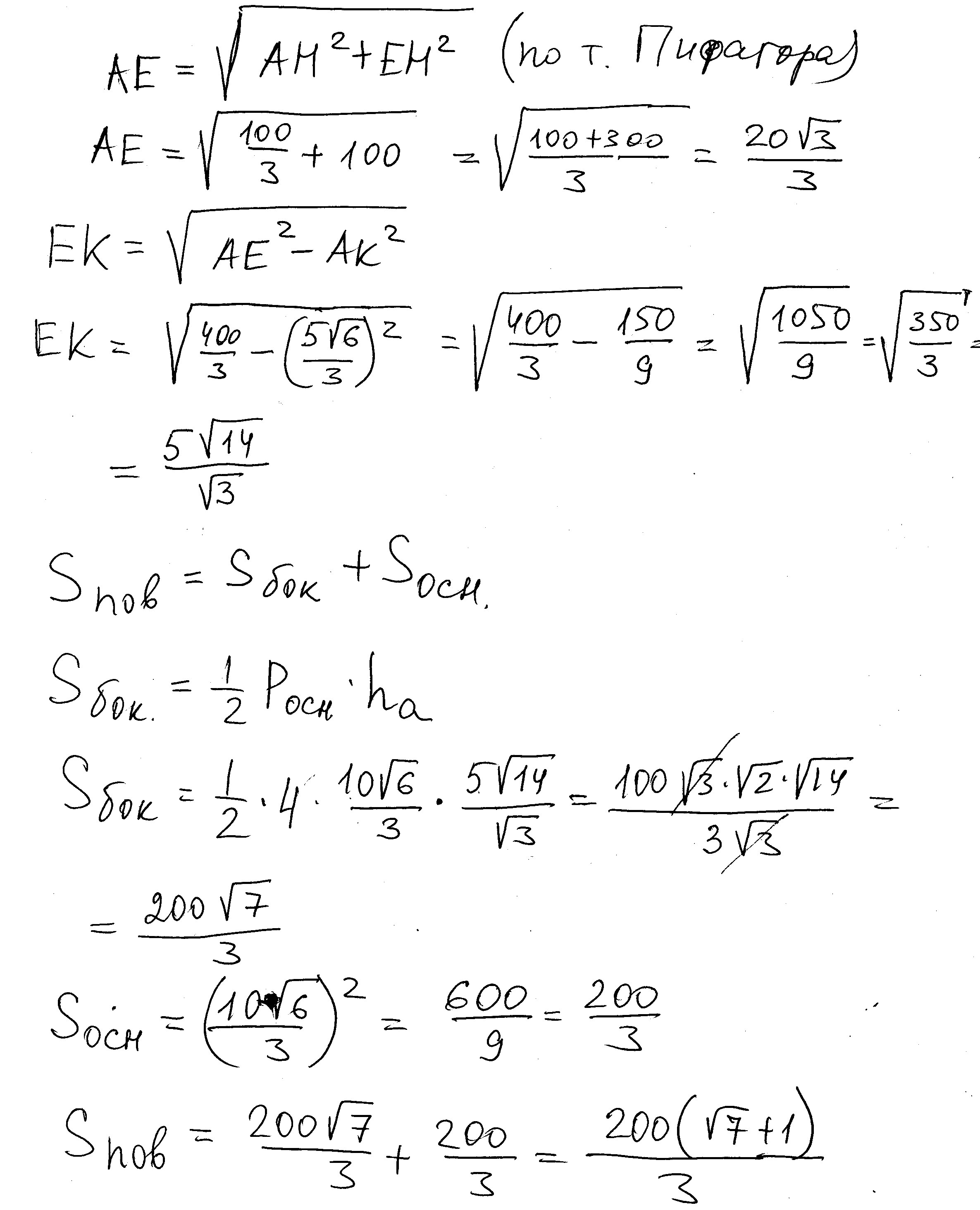
решение есть во вложенном файле сейчас будет


Приложения:
Ответ дал: samodina
0
ошибка
Ответ дал: samodina
0
сейчас исправлю
Вас заинтересует