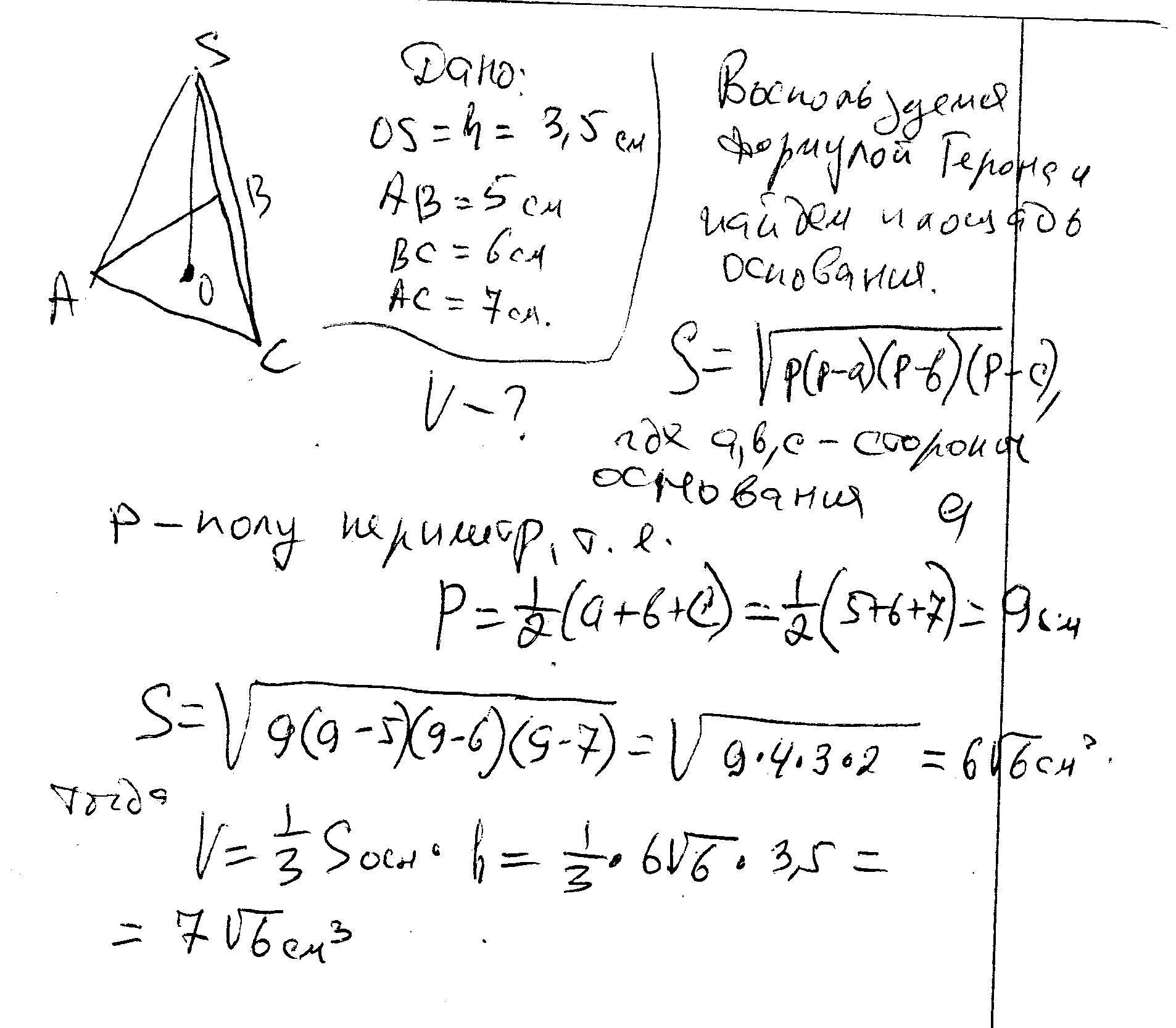
В треугольной пирамиде со сторонами основания 5 см,6 см и 7 см высота равна 3,5 см.
Найти объём пирамиды
Ответы
Ответ дал:
0
решение в скане.......
Приложения:

Вас заинтересует
2 года назад
2 года назад
7 лет назад
9 лет назад
10 лет назад