• Предмет: Алгебра
  • Автор: John5432
  • Вопрос задан 10 лет назад

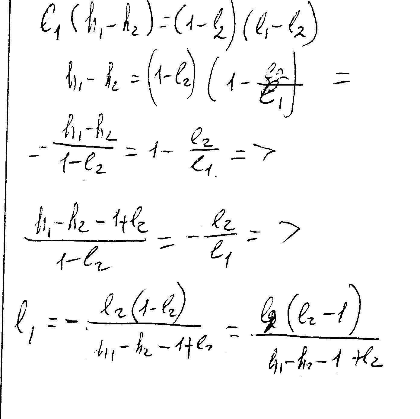
выразить Л1 из выражения: Л1*(н1-н2)=(1-Л2)*(Л1-Л2)

Ответы

Ответ дал: ужнеужели
0
решение в скане..............
Приложения:
Вас заинтересует