• Предмет: Геометрия
  • Автор: YanaKedra
  • Вопрос задан 10 лет назад

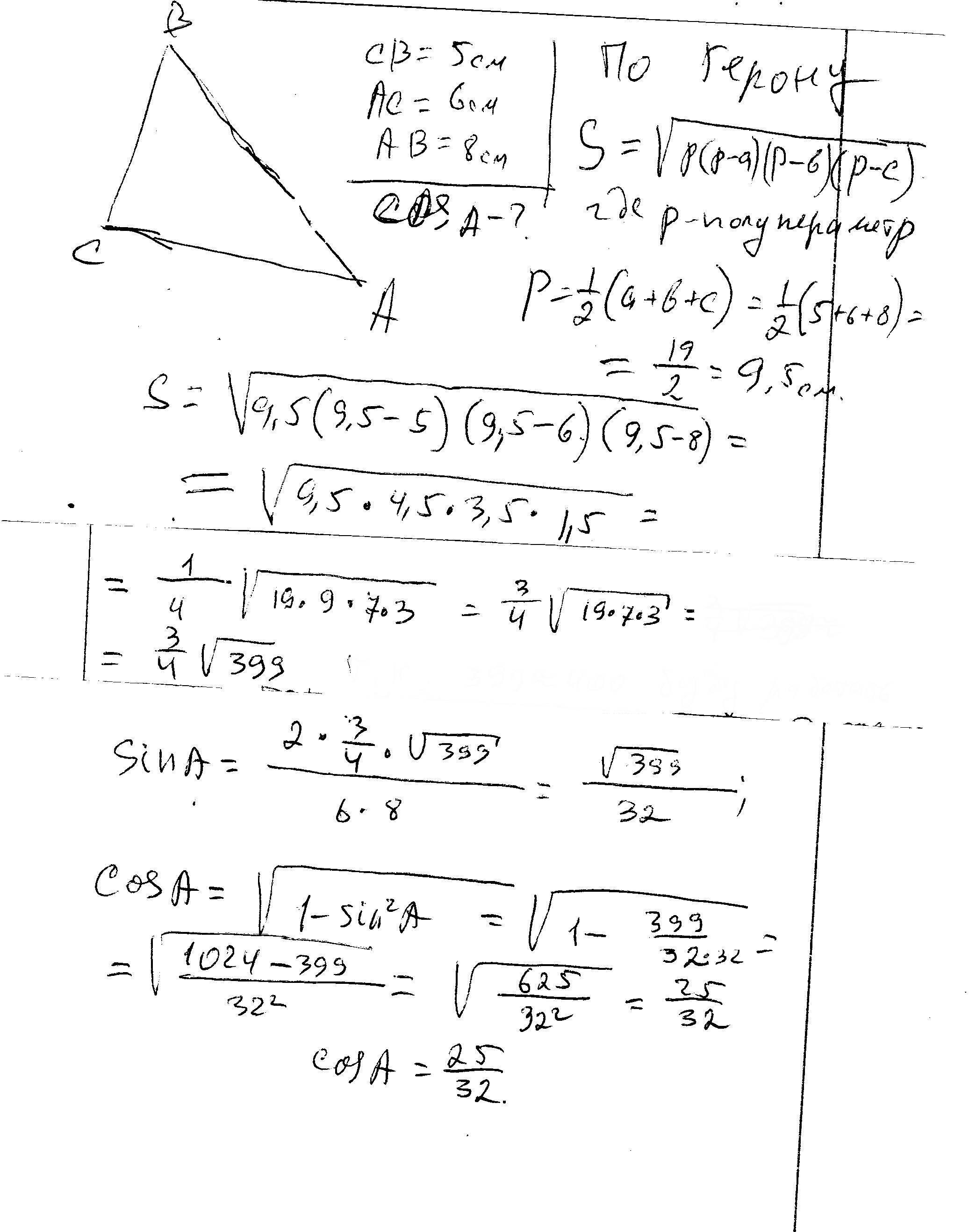
Длины сторон треугольника 5 6 и 8. Найдите косинус наименьшего угла треугольника. Не через теорему косинусов

Ответы

Ответ дал: nabludatel00
0
решение смотри в файле
Приложения:
Ответ дал: ужнеужели
0
Хорошо!
Ответ дал: nabludatel00
0
ну да, только не сократил -что-то отвлекло записал файл и выложил,
Ответ дал: ужнеужели
0
Подумаешь, проблема, не сократил...А мне было интересно, приведет к чему-нибудь этот громоздкий радикал. Привел.
Ответ дал: ужнеужели
0
решение в скане........
Приложения:
Вас заинтересует