• Предмет: Алгебра
  • Автор: scienik3
  • Вопрос задан 10 лет назад

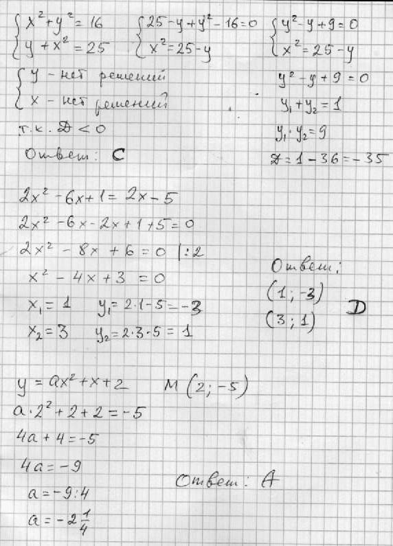
Напишите ответ 8,9 и 10 с решением пж))

Приложения:

Ответы

Ответ дал: математик2011
0
С решением____________________
Приложения:
Вас заинтересует