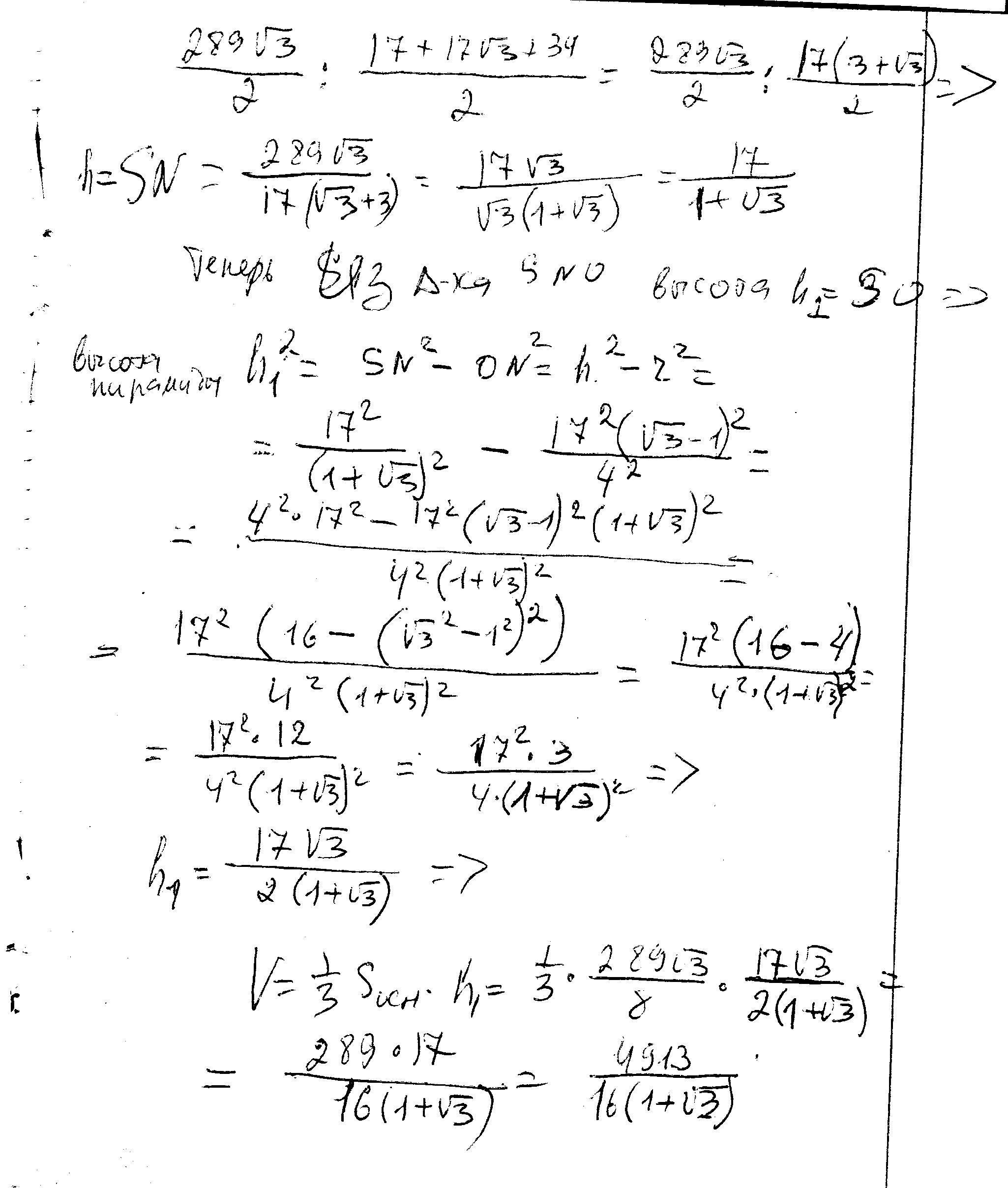
В основании пирамиды лежит прямоугольный треугольник с острым углом в 30°,
а наибольшая сторона равна 17 см. Боковые ребра пирамиды образуют с плоскостью
основания угол 60°. Найти объем пирамиды.
Ответы
Ответ дал:
0
Наверняка есть способ попроще, но туплю сегодня
Приложения:


Ответ дал:
0
решение во вложении--------------------------
Приложения:

Ответ дал:
0
"АОМ, ВОМ, СОМ". надо добавить знаки треугольника
Вас заинтересует
2 года назад
2 года назад
9 лет назад
9 лет назад
10 лет назад