Ответы
Ответ дал:
0
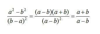
Подробное решение во вложенном файле
Приложения:

Ответ дал:
0
(а-в) /(а+в)
Если я правильно вас поняла то вот.
Приложения:

Вас заинтересует
2 года назад
2 года назад
7 лет назад
9 лет назад
10 лет назад