• Предмет: Математика
  • Автор: Ziratum
  • Вопрос задан 10 лет назад

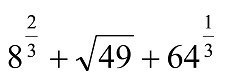
Вычислите значение выражения:

Приложения:

Ответы

Ответ дал: MelanieS
0
= (∛8)² + √49 + ∛64 = 2² + 7 + 4 = 4 + 7 + 4 = 15
Вас заинтересует