• Предмет: Математика
  • Автор: sunowl
  • Вопрос задан 10 лет назад

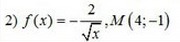
найдите первообразную, график которой проходит через данную точку М

Приложения:

Ответы

Ответ дал: sedinalana
0
F(x)=-4√x+C
-1=-4*2+C
C=7
F(x)=-4√x+7
Вас заинтересует