• Предмет: Математика
  • Автор: Аноним
  • Вопрос задан 11 лет назад

как можно скорееееееееееееееееееееееееееее

Приложения:

Ответы

Ответ дал: triolana
0

========================================================

Приложения:
Ответ дал: Аноним
0

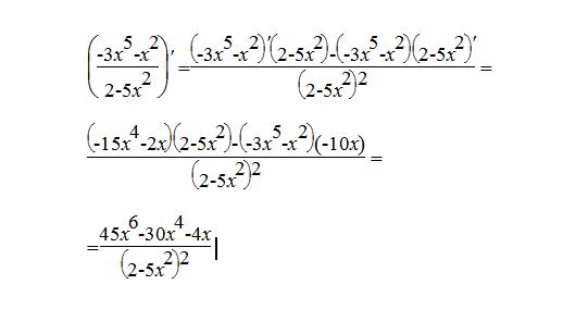
                                                Решение:

 

y'=1/(2-5x^2)^2*(-15x^4-2x)(2-5x^2)-(-3x^5-x^2)(-10x)=1/(2-5x^2)^2*(-30x^4-4x+10x^3+75x^6-30x^6-10x^3)=
=1/(2-5x^2)^2*(45x^6-30x^4-4x).

Приложения:
Вас заинтересует