• Предмет: Геометрия
  • Автор: Yana4660
  • Вопрос задан 10 лет назад

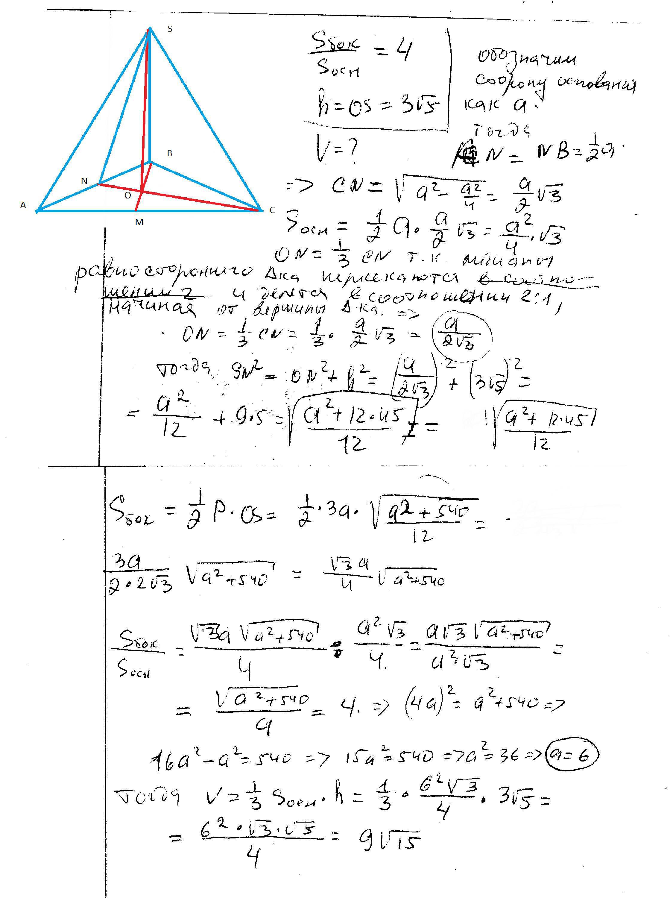
Высота правильной треугольной пирамиды 3корня из 5. Если площадь боковой поверхности в 4 раза больше площади основания, то объём пирамиды равен???(решение+рисунок)

Ответы

Ответ дал: ужнеужели
0
решение в скане...............
Приложения:
Вас заинтересует