Ответы
Ответ дал:
0
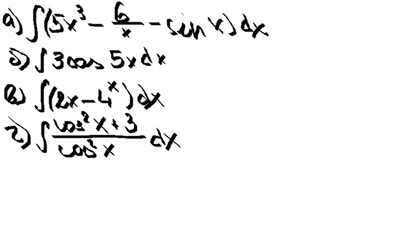
а)5x^4/4-6lnx+cosx+C
б)3/5*sin5x+C
в)x²-x^x/ln4+C
г)S(cos²x+3)/cos²xdx=S(1+3/cos²x)dx=x+3tgx+C
б)3/5*sin5x+C
в)x²-x^x/ln4+C
г)S(cos²x+3)/cos²xdx=S(1+3/cos²x)dx=x+3tgx+C
Вас заинтересует
3 года назад
3 года назад
8 лет назад
8 лет назад
10 лет назад
10 лет назад
10 лет назад