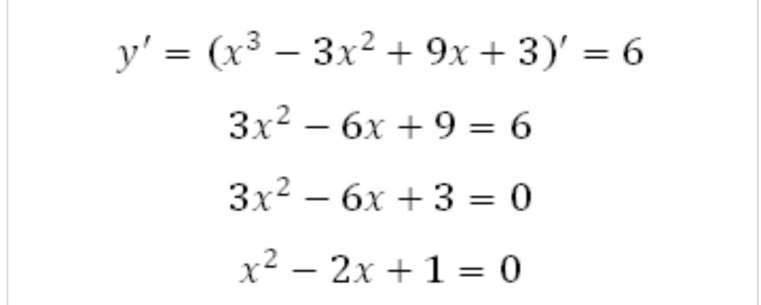
объясните пожалуйста. как из первого уравнения сделать второе . по каким действиям из x^3 мы потом получаем 3x^2
Приложения:

Ответы
Ответ дал:
0
нахождением производной) т.е. производная от x^3 - 3x^2
итог - тебе нужно найти, как ищется производная от числа)
итог - тебе нужно найти, как ищется производная от числа)
Ответ дал:
0
3x^2-6x+9 я понял . а как из 3 потом =6?
Ответ дал:
0
Всё понял
Ответ дал:
0
по формуле производных X в степени n равно n*x в степени n-1
Вас заинтересует
2 года назад
7 лет назад
9 лет назад
10 лет назад