Ответы
Ответ дал:
0
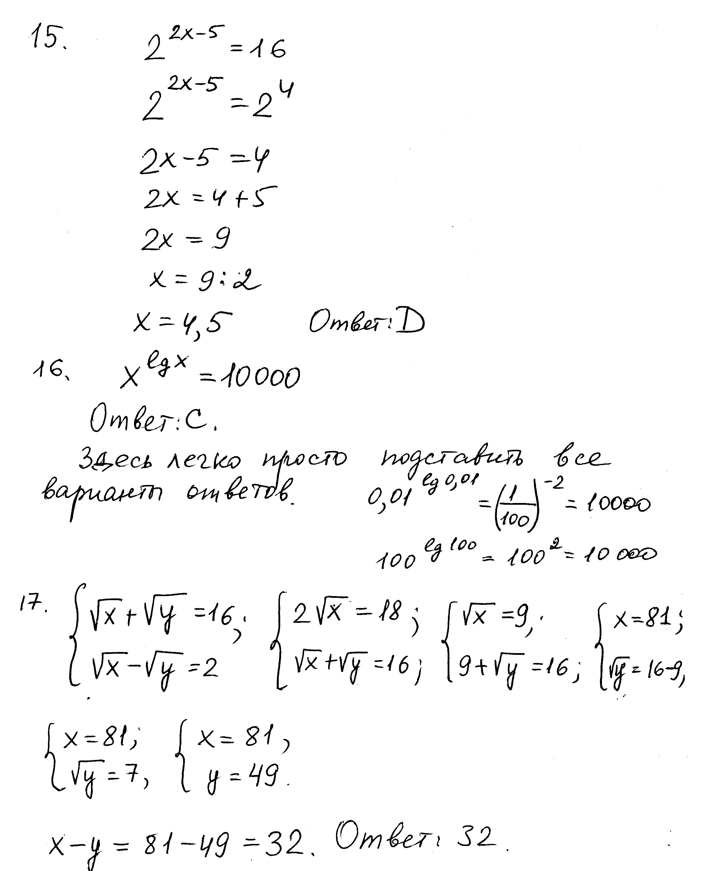
решение во вложенном файле:
Приложения:

Ответ дал:
0
если надо, то напишу решение №16 без подбора. Просто подбором логичней, но вдруг тебе надо решение
Ответ дал:
0
нет спасибо его сам решил))) спасибо за ответ))))
Вас заинтересует
2 года назад
2 года назад
7 лет назад
9 лет назад
10 лет назад