• Предмет: Математика
  • Автор: ППЗ
  • Вопрос задан 9 лет назад

Решить уравнение.
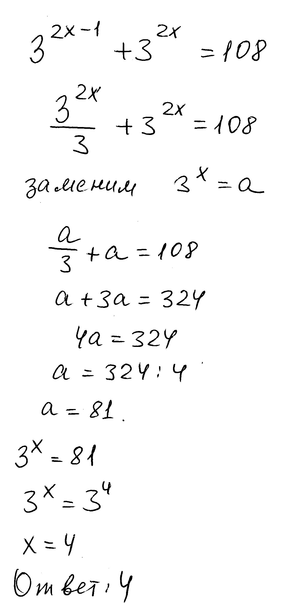
3^2х-1 + 3^2х = 108

Ответы

Ответ дал: samodina
0
решение на листочке...............
Приложения:
Вас заинтересует