Найдите наименьшее и наибольшее значение функций y=2x^3+3x^2-36x на отрезке (-2;1) ( скобки квадратные)
Ответы
Ответ дал:
0
Проверим, есть ли еще значения для промежутка:
y'=6x^2+6x-36
6x^2+6x-36=0
D=36+864=900
x1=(-6+30)/12=2
x2=(-6-30)/12=-3
(не входят в промежуток)
Значит, просто поставляем вместо х сначала -2, потом 1, просчитываем. Что меньше - то и наименьшее, что получилось больше - то и наибольшее)
y'=6x^2+6x-36
6x^2+6x-36=0
D=36+864=900
x1=(-6+30)/12=2
x2=(-6-30)/12=-3
(не входят в промежуток)
Значит, просто поставляем вместо х сначала -2, потом 1, просчитываем. Что меньше - то и наименьшее, что получилось больше - то и наибольшее)
Ответ дал:
0
Должно быть правильно)
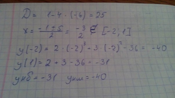
Приложения:


Вас заинтересует
2 года назад
2 года назад
7 лет назад
7 лет назад
9 лет назад
9 лет назад
10 лет назад