• Предмет: Геометрия
  • Автор: prakopova2015
  • Вопрос задан 9 лет назад

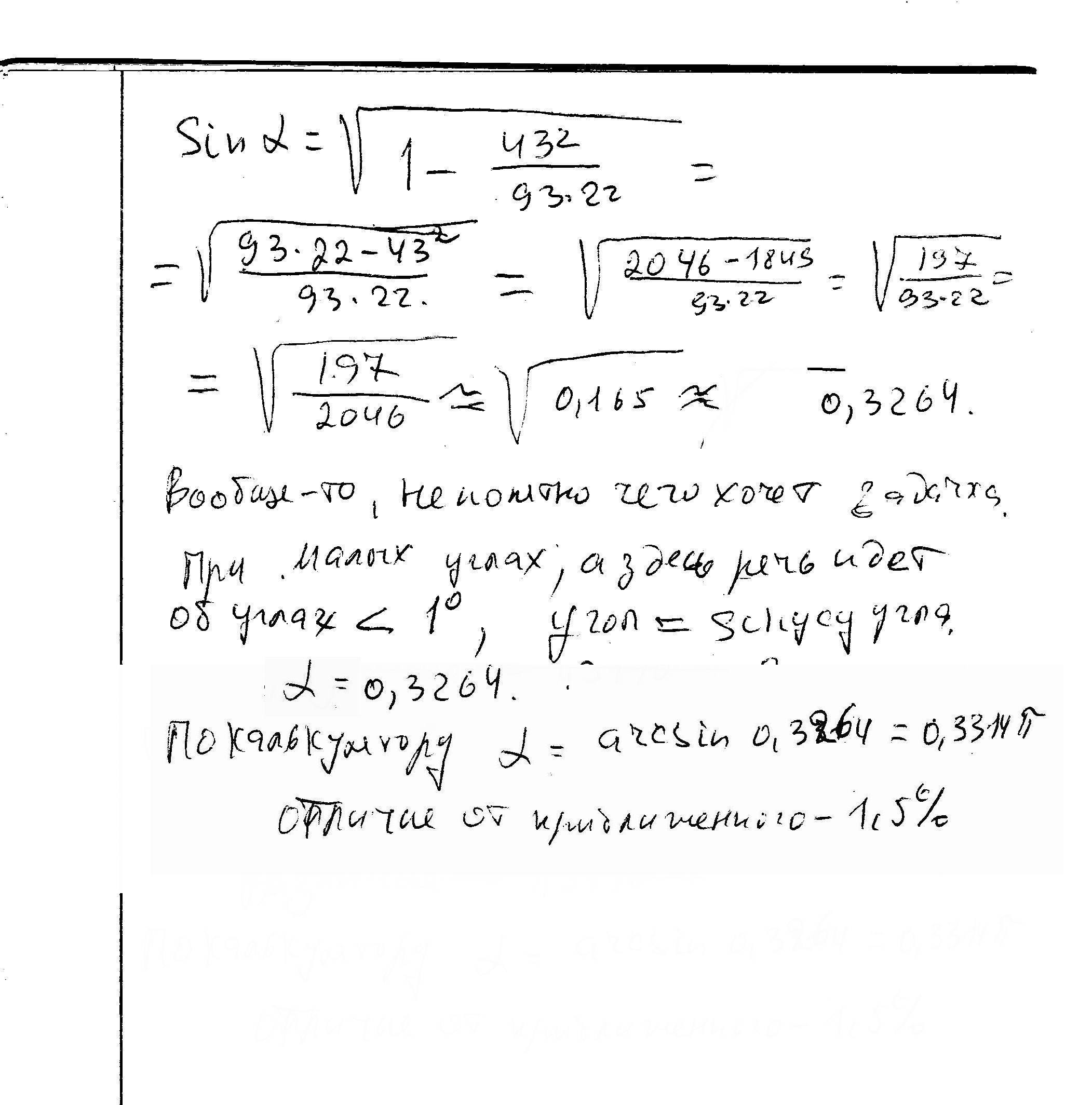
Помогите пожалуйста решить .

Приложения:

Ответы

Ответ дал: ужнеужели
0
может догадался чего хотят? Не прямое же решение?
Приложения:
Вас заинтересует