• Предмет: Физика
  • Автор: kmartinina
  • Вопрос задан 10 лет назад

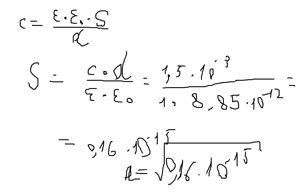
Плоский воздушный конденсатор образован двумя квадратными пластинами,отстоящими друг от друга на расстоянии 10^-3 м. Какой должна быть длина каждой из этих пластин,чтобы ёмкость конденсатора равнялась 1,5 Ф?

Ответы

Ответ дал: pavelserd2013
0
.........................................
Приложения:
Вас заинтересует