Ответы
Ответ дал:
0
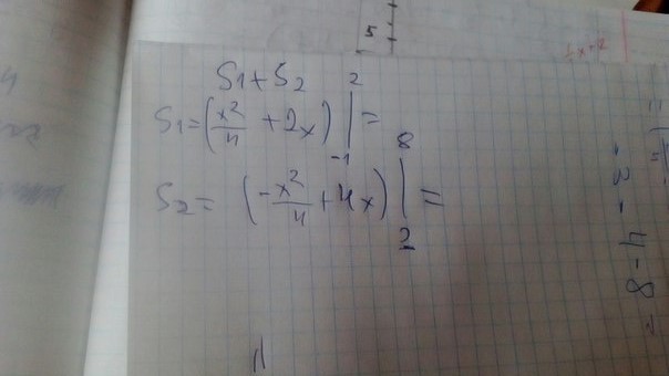
И в чем сложность? Если это площади, то берешь модули
S1 = |2^2/4 - 2*2 - (-1)^2/4 + 2*(-1)| = |1 - 4 - 1/4 - 2| = |- 5 1/4| = 5,25
S2 = |-8^2/4+4*8 + 2^2/4 - 4*2| = |-16 + 32 + 1 - 8| = |9| = 9
S1 + S2 = 5,25 + 9 = 14,25
S1 = |2^2/4 - 2*2 - (-1)^2/4 + 2*(-1)| = |1 - 4 - 1/4 - 2| = |- 5 1/4| = 5,25
S2 = |-8^2/4+4*8 + 2^2/4 - 4*2| = |-16 + 32 + 1 - 8| = |9| = 9
S1 + S2 = 5,25 + 9 = 14,25
Вас заинтересует
2 года назад
8 лет назад
8 лет назад
10 лет назад
10 лет назад
10 лет назад