Ответы
Ответ дал:
0
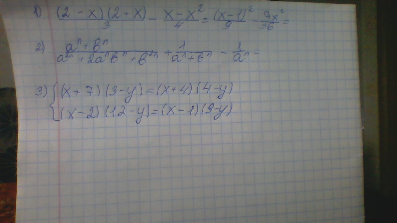
1) непонятно, к чему первое = между второй и третьей дробью.
2) непонятно, чему это все равно.
И главное, что со всем этим делать?
3) Тут понятно, решить систему
{ (x+7)(3-y) = (x+4)(4-y)
{ (x-2)(12-y) = (x-1)(9-y)
Раскрываем скобки
{ 3x + 21 - xy - 7y = 4x + 16 - xy - 4y
{ 12x - 24 - xy + 2y = 9x - 9 - xy + y
Приводим подобные
{ x + 3y = 5
{ 3x + y = 15
Получили простую линейную систему.
Умножаем 1 уравнение на -1, а 2 уравнение на 3
{ -x - 3y = -5
{ 9x + 3y = 45
Складываем уравнения
8x = 40
x = 5
Подставляем в 1 уравнение
5 + 3y = 5
y = 0
Ответ: (5, 0)
2) непонятно, чему это все равно.
И главное, что со всем этим делать?
3) Тут понятно, решить систему
{ (x+7)(3-y) = (x+4)(4-y)
{ (x-2)(12-y) = (x-1)(9-y)
Раскрываем скобки
{ 3x + 21 - xy - 7y = 4x + 16 - xy - 4y
{ 12x - 24 - xy + 2y = 9x - 9 - xy + y
Приводим подобные
{ x + 3y = 5
{ 3x + y = 15
Получили простую линейную систему.
Умножаем 1 уравнение на -1, а 2 уравнение на 3
{ -x - 3y = -5
{ 9x + 3y = 45
Складываем уравнения
8x = 40
x = 5
Подставляем в 1 уравнение
5 + 3y = 5
y = 0
Ответ: (5, 0)
Вас заинтересует
3 года назад
3 года назад
8 лет назад
8 лет назад
10 лет назад
10 лет назад
10 лет назад