Помогите пожалуйста срочно мне)
Если можете решите на листочке и пришлите фото
Решите пожалуйста все,очень срочно надо.
Приложения:

Ответы
Ответ дал:
0
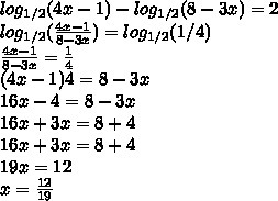
ответ на фотографии. и решение тоже.
Приложения:

Ответ дал:
0
Спасибо большое)
Ответ дал:
0
Делаем проверку....
Ответ: 12/19.
Ответ: 12/19.
Приложения:

Ответ дал:
0
и какой правильный тут два ответа но разных?
Ответ дал:
0
ой,но это не тот ответ
Ответ дал:
0
извени просмотрел не то кинул
Вас заинтересует
2 года назад
2 года назад
7 лет назад
7 лет назад
9 лет назад
9 лет назад
10 лет назад