• Предмет: Алгебра
  • Автор: Аноним
  • Вопрос задан 10 лет назад

Розвязати лінійне рівняння

Приложения:

Ответы

Ответ дал: No03
0
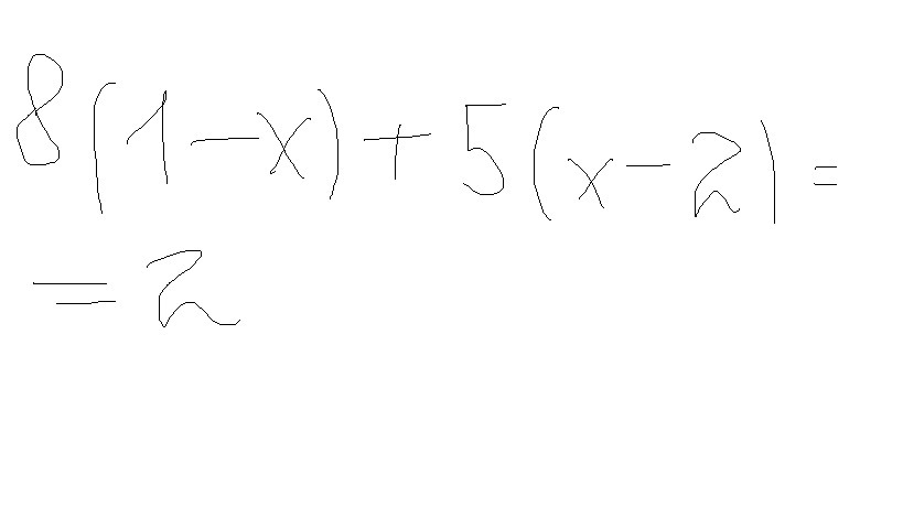
8(1-х)+5(х-2)=2
8-8х+5х-10=2
-8х+5х=-8+10+2
-3х=4
х=-4/3
Ответ дал: AnastasiaKul888
0
8-8x+5x-10=2
-3x-4=0
-3x=4
x=-4/3
Вас заинтересует