• Предмет: Математика
  • Автор: Cristina18
  • Вопрос задан 10 лет назад

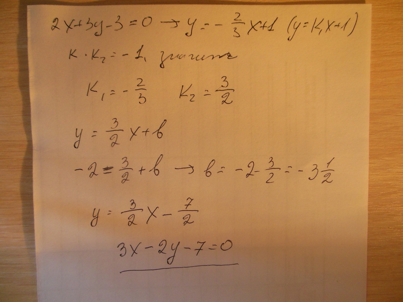
Найти уравнение прямой, которая проходит через точку М0(1; -2) перпендикулярно прямой 2x+3y-3=0.

Ответы

Ответ дал: miron2077
0
!!!!!!!!!!!!!!!!!!!!!!!!!!!!!!!!!!!!
Приложения:
Ответ дал: Denik777
0
k2=3/2 а не 2/3.
Вас заинтересует