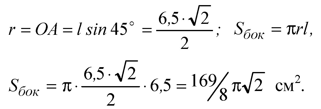
Угол между образующей и осью конуса равен 45 градусам, образующая равна 6,5 см. Найти площадь боковой поверхности.
Ответы
Ответ дал:
0
Вот так нужно делать.Я конечно не уверена но думаю что так
Приложения:


Ответ дал:
0
спасибо котя)
Вас заинтересует
2 года назад
7 лет назад
7 лет назад
9 лет назад
9 лет назад