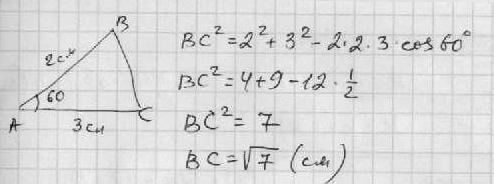
В треугольнике ABC сторона AB равна 2 сантиметра AC равна 3 сантиметра угол на 60 градусов Найдите BC
Ответы
Ответ дал:
0
ЕСли правильно понято условие
По теореме косинусов
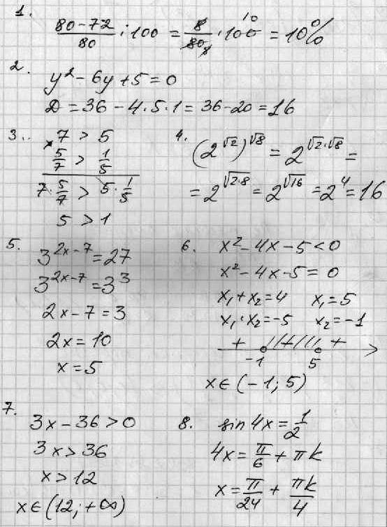
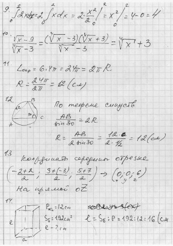
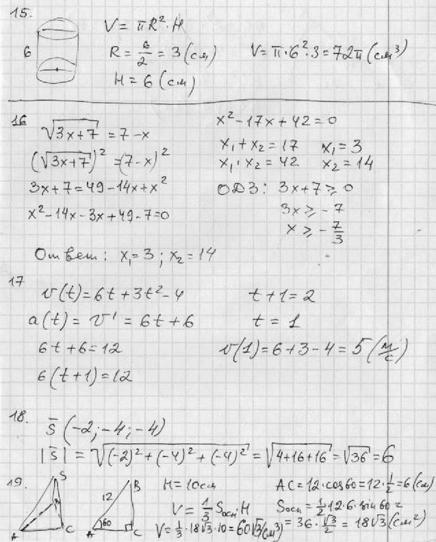
Остальное тоже пригодится
По теореме косинусов
Остальное тоже пригодится
Приложения:




Ответ дал:
0
И всё? А БОЛЬШОЕ спасибо?
Ответ дал:
0
не было времени) спасибо))
Ответ дал:
0
!!!
Вас заинтересует
2 года назад
2 года назад
7 лет назад
7 лет назад
9 лет назад
10 лет назад