Ответы
Ответ дал:
0
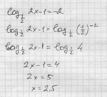
ОДЗ:
2x+1>0, 2x>-1, x>-1/2
x∈(-1/2;∞)
1,5∈(-1/2;∞)
ответ: х=1,5
Ответ дал:
0
___________________________
Приложения:

Вас заинтересует
2 года назад
2 года назад
7 лет назад
9 лет назад
10 лет назад