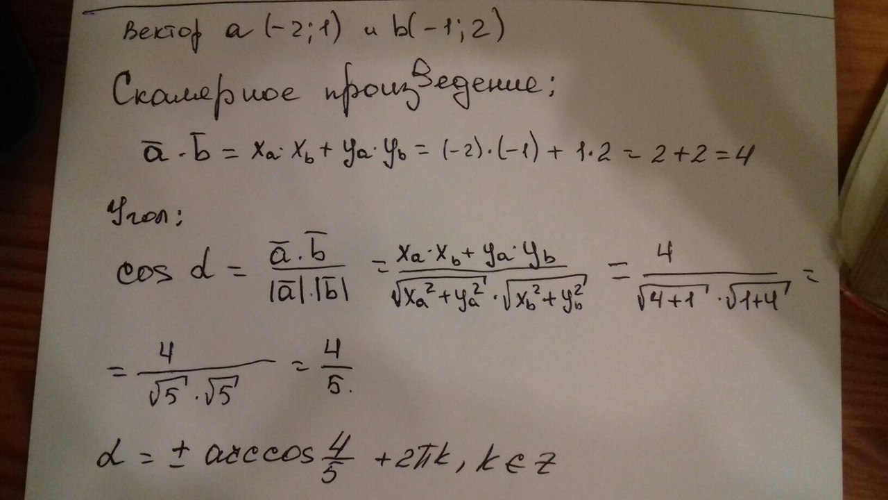
Найдите скалярное произведение векторов a(−2, 1), b(−1, 2) , заданных в декартовой системе координат, и угол между ними
Ответы
Ответ дал:
0
На фотографии полное решение
Приложения:

Вас заинтересует
2 года назад
2 года назад
7 лет назад
7 лет назад
9 лет назад
10 лет назад