• Предмет: Математика
  • Автор: nikitax523
  • Вопрос задан 10 лет назад

Пожалуйста помогите

Приложения:

Ответы

Ответ дал: samodina
0

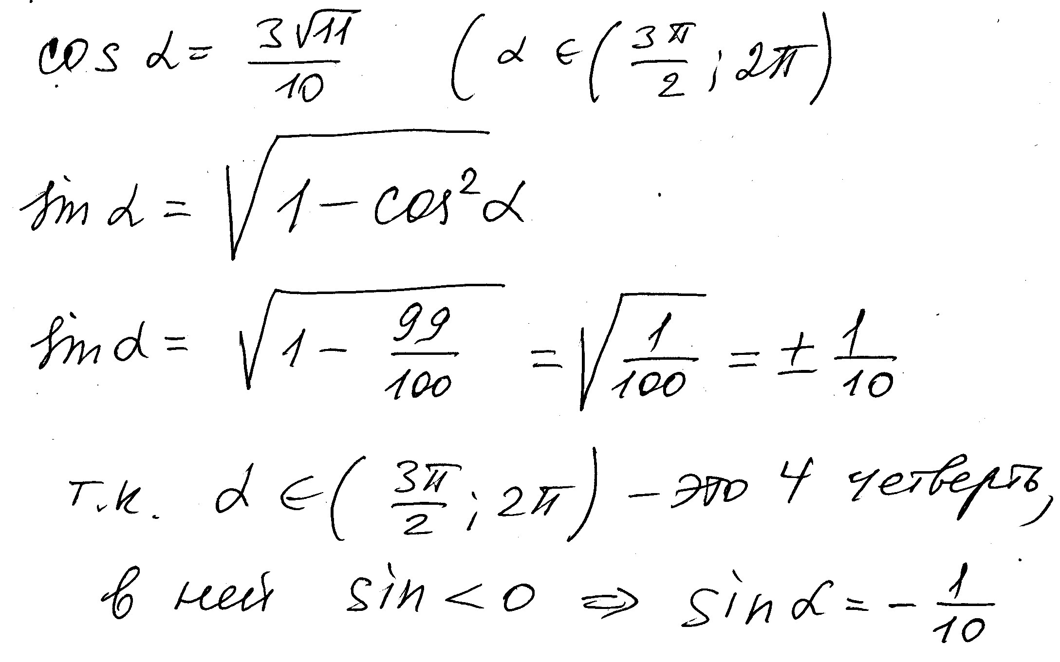
решение напишу в файле:


Приложения:
Вас заинтересует