• Предмет: Алгебра
  • Автор: BearBy
  • Вопрос задан 10 лет назад

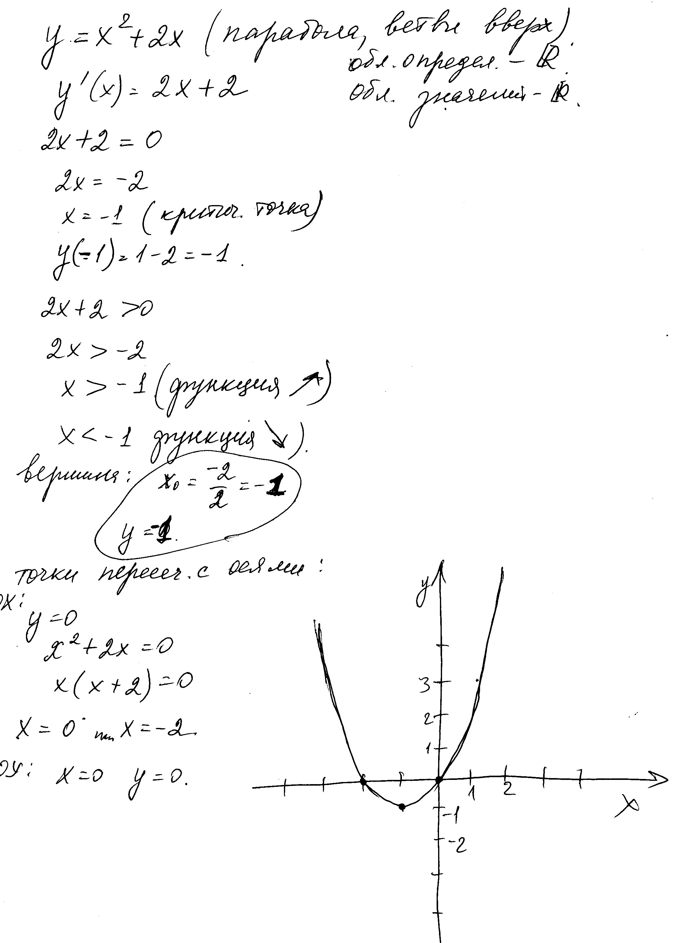
исследовать функцию с помощью производной и построить ее график y=x^2 + 2x

Ответы

Ответ дал: samodina
0

решение во вложенном файле


Приложения:
Ответ дал: BearBy
0
Огромное Спасибо!
Вас заинтересует