Ответы
Ответ дал:
0
-----------------------------------------------------------------
(РЕШЕНИЕ)
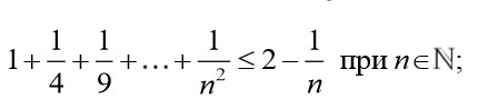
База индукции
При
утверждение верно. 
Гипотеза индукции. Пусть утверждение верно при
т.е. справедливо неравенство

Индукционный переход
Докажем что тогда справедливо неравенство при
т.е. что тогда справедливо неравенство

или используя предположение нужно доказать что

или

или
что


так как обе части неотрицательны, то равносильно



что очевидно верно
таким образом на основании принципа мат. индукции неравенство доказано.
----------------
(более логичное решение)
неравенство равносильно неравенству

заметим что при n є N,

поєтому




т.е. нужно получили требуемое
(РЕШЕНИЕ)
База индукции
При
Гипотеза индукции. Пусть утверждение верно при
т.е. справедливо неравенство
Индукционный переход
Докажем что тогда справедливо неравенство при
т.е. что тогда справедливо неравенство
или используя предположение нужно доказать что
или
или
что
так как обе части неотрицательны, то равносильно
что очевидно верно
таким образом на основании принципа мат. индукции неравенство доказано.
----------------
(более логичное решение)
неравенство равносильно неравенству
заметим что при n є N,
поєтому
т.е. нужно получили требуемое
Вас заинтересует
3 года назад
8 лет назад
8 лет назад
10 лет назад
10 лет назад
10 лет назад