Ответы
Ответ дал:
0
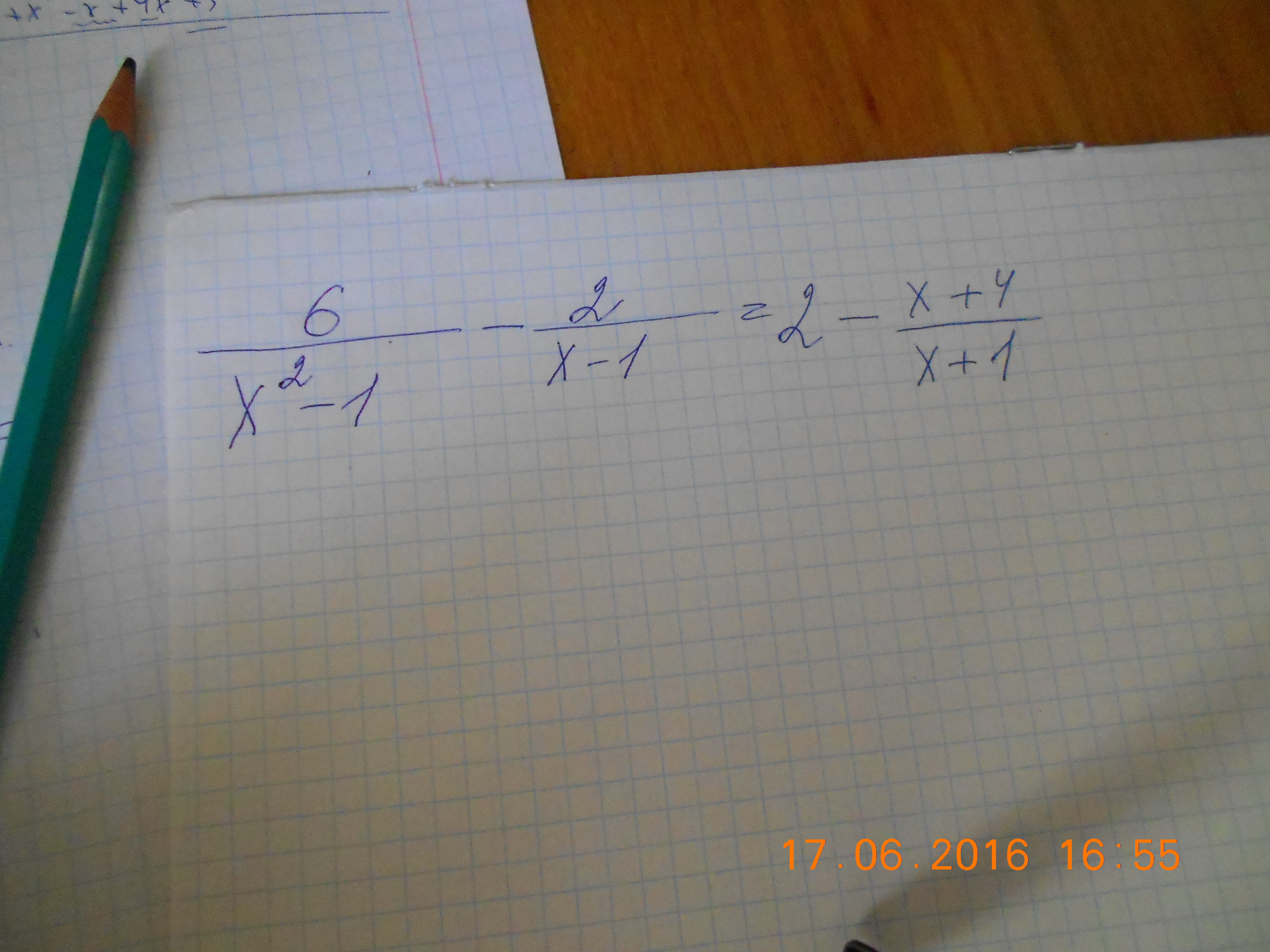
Общий знаменатель всех дробей: (х-1)(х+1), все домножаем до него и далее
6/(х-1)(х+1)-(2х+2)/(х-1)(х+1)=(2(х-1)(х+1))/(х-1)(х+1)-((х+4)(х-1))/(х-1)(х+1)
Далее все переносим в левую часть и приравниваем к 0, риводим подобные слагаемые и получаем: (-х^2+х+6)/(х-1)(х+1)=0
Дробь равна нулю, когда ее числитель равен нулю, а знаменатель отличен от нуля. Поэтому решаем квадратное уранение -х^2+х+6=0 и получаем корни -2 и 6
6/(х-1)(х+1)-(2х+2)/(х-1)(х+1)=(2(х-1)(х+1))/(х-1)(х+1)-((х+4)(х-1))/(х-1)(х+1)
Далее все переносим в левую часть и приравниваем к 0, риводим подобные слагаемые и получаем: (-х^2+х+6)/(х-1)(х+1)=0
Дробь равна нулю, когда ее числитель равен нулю, а знаменатель отличен от нуля. Поэтому решаем квадратное уранение -х^2+х+6=0 и получаем корни -2 и 6
Вас заинтересует
3 года назад
3 года назад
8 лет назад
10 лет назад
10 лет назад
10 лет назад