• Предмет: Математика
  • Автор: castl
  • Вопрос задан 10 лет назад

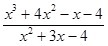
сократить дробь, быстрее пожалуйста

Приложения:

Ответы

Ответ дал: wqqw
0
(x^2(x+2)-9(x+2))(x-3)(x+2)=(x-3)(x+3)(x+2)(x-3)(x+2)=(x+3)
Ответ дал: castl
0
это какой??
Ответ дал: wqqw
0
1 пример
Вас заинтересует