Правильно или нет?
Задание такое: Вычислите угол между векторами АВ и СД, если известны координаты А(2;2;3) В(1;2;2) С(3;-1;3) Д(3;-2;2)
Приложения:

Ответы
Ответ дал:
0
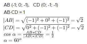
АВ (-1; 0; -1), CD (0; -1; -1)
AB·CD = 1



AB·CD = 1
Приложения:

Ответ дал:
0
Спасибо большое, ещё бы разобраться как это записать))
Ответ дал:
0
см. картинку
Ответ дал:
0
Да я уже все написала
Вас заинтересует
2 года назад
7 лет назад
7 лет назад
9 лет назад
10 лет назад