Помогите решить!!!аааааааааааааааааааа...С объяснением, просто я не понимаю....=(((Пожалуйста...
Приложения:

Ответы
Ответ дал:
0
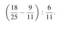
Сначала делаешь в скобках, назовем это первым действием:
1. 18/25 - 9/11 = -27/275 (Приводишь к общему знаменателю, тут он 275, и решаешь)
2. -27/275 :6/11 = -99/550 (Чтобы разделить дробь, переворачиваешь и умножаешь на нее, т.е -27/275 * 11/6)
Не люблю такие примеры :D
1. 18/25 - 9/11 = -27/275 (Приводишь к общему знаменателю, тут он 275, и решаешь)
2. -27/275 :6/11 = -99/550 (Чтобы разделить дробь, переворачиваешь и умножаешь на нее, т.е -27/275 * 11/6)
Не люблю такие примеры :D
Ответ дал:
0
Да :)
Ответ дал:
0
ВСЕЕЕ ДОШЛООО
Ответ дал:
0
Спасиибо !
Ответ дал:
0
Не за что с:
Ответ дал:
0
*3*
Вас заинтересует
2 года назад
7 лет назад
7 лет назад
9 лет назад
9 лет назад
10 лет назад