Ответы
Ответ дал:
0
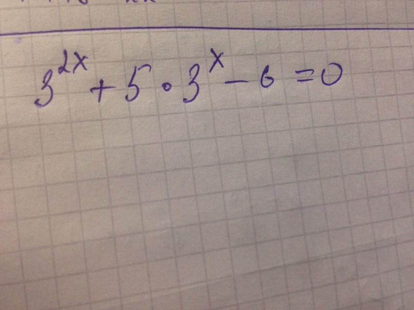
3^х=а
а^2+5а-6=0
д=25-4×1×(-6)=49
а1=(-5-7)/2=-6
а2=(-5+7)/2=1
3^х=-6 корней нет
3^х=1
3^х=3^0
х=0
а^2+5а-6=0
д=25-4×1×(-6)=49
а1=(-5-7)/2=-6
а2=(-5+7)/2=1
3^х=-6 корней нет
3^х=1
3^х=3^0
х=0
Вас заинтересует
2 года назад
7 лет назад
10 лет назад
10 лет назад