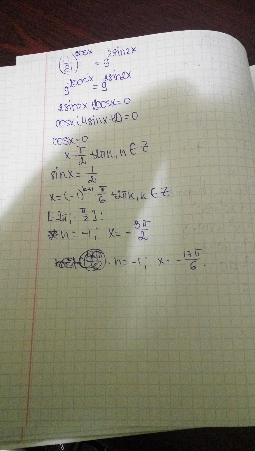
Решить уравнение
(〖1/81)〗^cosx=9^2sin2x
Указать корни этого уравнения, принадлежащие отрезку [-2π;-π/2 ]
Ответы
Ответ дал:
0
Решение смотрите в приложении.........
Приложения:

Вас заинтересует
2 года назад
7 лет назад
7 лет назад
9 лет назад
10 лет назад