Протон и a-частица движутся по одной прямой навстречу друг другу. В тот момент, когда расстояние между частицами было велико, скорость протона была равна 3*
м/с, а скорость а-частицы
м/с. Определите, на какое наименьшее расстояние S смогут сблизиться эти частицы
Ответы
Ответ дал:
0
При максимальном сближении, протон и альфа частица будут двигаться к единое целое, поэтому найдем по закону сохранения импульса скорость после максимального сближения:
Mv1-mv2=(m+M)v
10^5=5v
v=2*10^4 м/с
Теперь запишем закон сохранения энергии
Mv1^2/2+mv2^2/2=2ke^2/r+(M+m)v^2/2
4ke^2/mp(v1^2+4v2^2-5v^2)
4*10^9*9*2.56*10^-38/1.67*10^-27*12.8*10^10=4.31*10^-12
Mv1-mv2=(m+M)v
10^5=5v
v=2*10^4 м/с
Теперь запишем закон сохранения энергии
Mv1^2/2+mv2^2/2=2ke^2/r+(M+m)v^2/2
4ke^2/mp(v1^2+4v2^2-5v^2)
4*10^9*9*2.56*10^-38/1.67*10^-27*12.8*10^10=4.31*10^-12
Ответ дал:
0
Можете проверить и сказать, в чем проблема?
Ответ дал:
0
4.31*10^-12 - отличный результат, 4.31*10^-12 ~ 4*10^-12
Ответ дал:
0
4,31039E-12 )))
Ответ дал:
0
ответ принимается, прошу в комментарии пояснить автору вопроса ход мыслей. (мне не надо, я решение знаю)
Ответ дал:
0
При максимальном сближении частицы будут двигаться равномерно как одно целое, используя закон сохранения импульса найдем скорость системы. Затем используем закон сохранения энергии, учитывая тот факт, что до взаимодействия полная энергия системы складывалась из кинетических энергий частиц, а после взаимодействия из потенциальной энергии взаимодействия и кинетической энергии системы
Ответ дал:
0
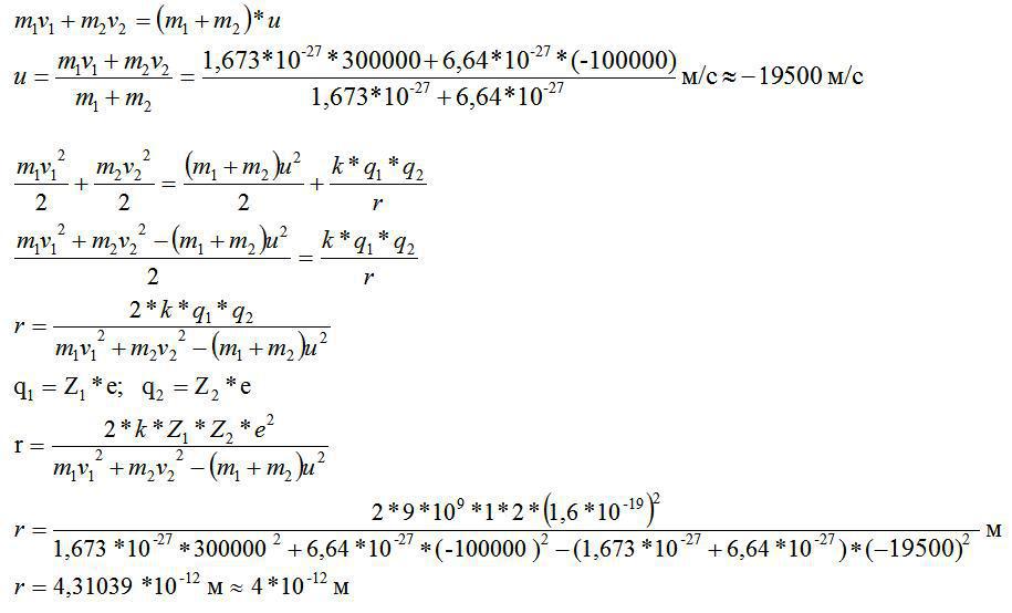
1)
две частицы двигаются навстречу.
в какой-то момент времени при абсолютно упругом взаимодействии скорости этих частиц равны и потом частицы опять начинают разлетаться с различными скоростями. максимальное сближение (наименьшее расстояние) происходит именно в тот момент когда скорости одинаковы. скорость обеих частиц находим по закону сохранения импульса.
2)
бесконечно удаленные частицы обладают кинетической энергией. при сближении кинетическая энергия частично превращается в кулоновскую энергию взаимодействия частиц, зависящую от расстояния между частицами.
смотри расчеты во вложении
ответ 4*10^(-12) м
две частицы двигаются навстречу.
в какой-то момент времени при абсолютно упругом взаимодействии скорости этих частиц равны и потом частицы опять начинают разлетаться с различными скоростями. максимальное сближение (наименьшее расстояние) происходит именно в тот момент когда скорости одинаковы. скорость обеих частиц находим по закону сохранения импульса.
2)
бесконечно удаленные частицы обладают кинетической энергией. при сближении кинетическая энергия частично превращается в кулоновскую энергию взаимодействия частиц, зависящую от расстояния между частицами.
смотри расчеты во вложении
ответ 4*10^(-12) м
Приложения:

Вас заинтересует
2 года назад
2 года назад
7 лет назад
7 лет назад
9 лет назад
9 лет назад
10 лет назад