Ответы
                                            Ответ дал: 
                                                                                    
                                        
                                            
                                                
                                                
                                                
                                                    0
                                                
                                            
                                        
                                    
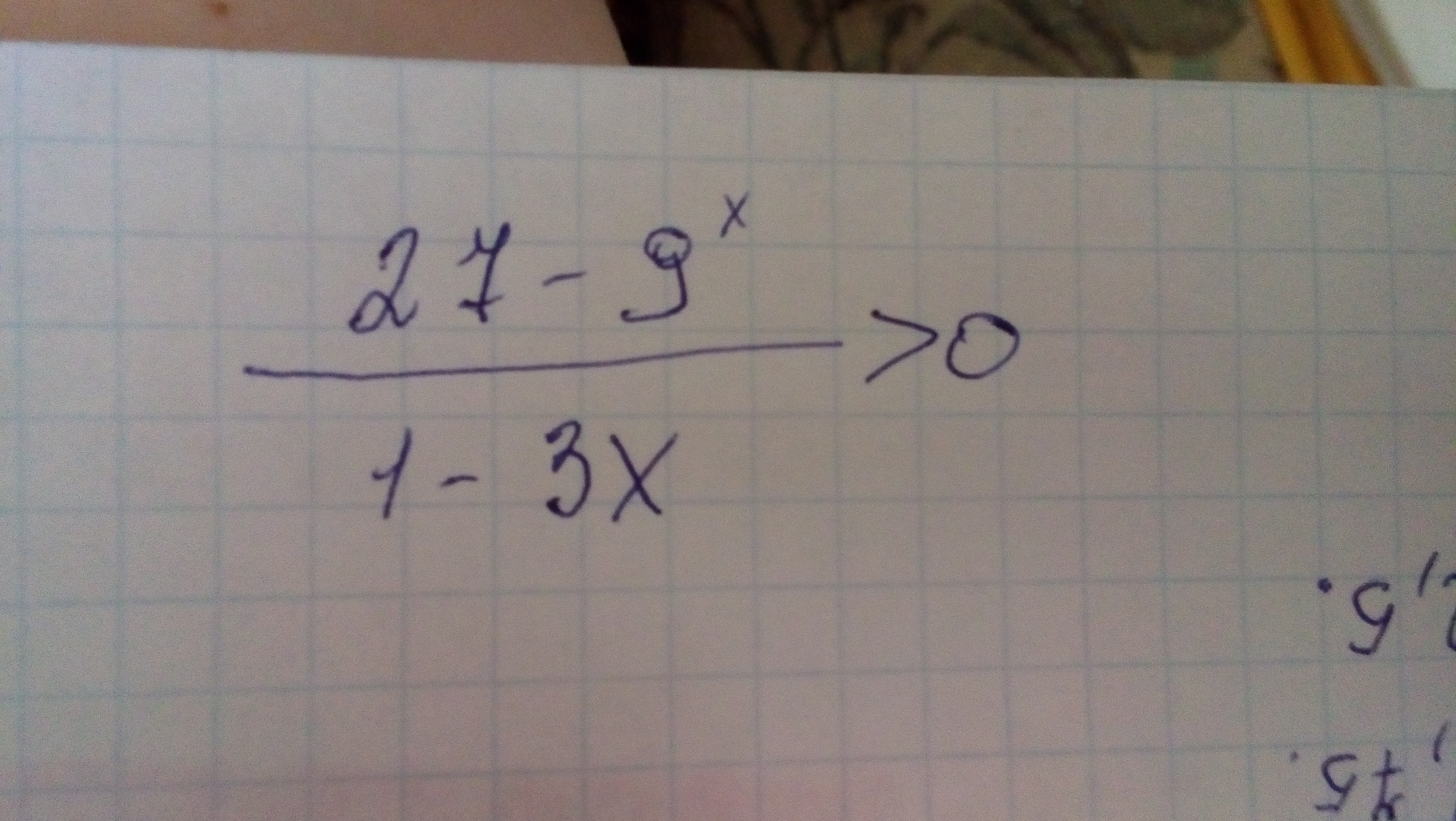
                                        1){27-9^x>0⇒3^2x<3³⇒2x<3⇒x<1,5
{1-3x>0⇒3x<1⇒x<1/3
2){27-9^x<0⇒3^2x>3³⇒2x>3⇒x>1,5
{1-3x<0⇒3x>1⇒x>1/3
x∈(-∞;1/3 U (1,5;∞)
                                        
                                        
                                {1-3x>0⇒3x<1⇒x<1/3
2){27-9^x<0⇒3^2x>3³⇒2x>3⇒x>1,5
{1-3x<0⇒3x>1⇒x>1/3
x∈(-∞;1/3 U (1,5;∞)
Вас заинтересует
                
                        2 года назад
                    
                
                        2 года назад
                    
                
                        7 лет назад
                    
                
                        7 лет назад
                    
                
                        9 лет назад
                    
                
                        10 лет назад
                    
                