Ответы
Ответ дал:
0
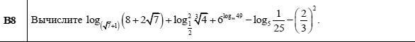
log(√7+1)[(√7+1)²]+log²(1/2)(2^(2/3))+(36)^log(36)7-log(5)(5^-2)-4/9=
2+(-2/3)²+7+2-4/9=11+4/9-4/9=11
2+(-2/3)²+7+2-4/9=11+4/9-4/9=11
Ответ дал:
0
вы пропустили еще один лог
Ответ дал:
0
который добавляет к ответу 7.. и получается 11
Ответ дал:
0
что неверно
Ответ дал:
0
но в ответах 7 указано, а не 11 ;c
Ответ дал:
0
ладно, видимо остается грустно вздохнуть и обругать, как пьяный сапожник, составителя задач, раз даже у гл. мозга ответ не совпадает с "правильным"
Ответ дал:
0
там действительно будет 11, никак не 4 и не 7, ошибка в ответах значит (((
Разберем по действиям:




2+4/9 +7 +2 - 4/9 = 11
Разберем по действиям:
2+4/9 +7 +2 - 4/9 = 11
Ответ дал:
0
Ну, с повторным подтверждением моего ответа пришло и спокойствие :) Спасибо
Вас заинтересует
3 года назад
8 лет назад
8 лет назад
10 лет назад
10 лет назад
10 лет назад