• Предмет: Математика
  • Автор: LikkeDono
  • Вопрос задан 10 лет назад

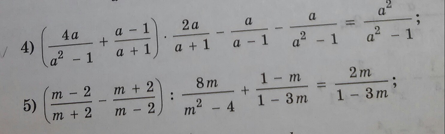
Четвертое и пятое, пожалуйста, по действиям :р

Приложения:

Ответы

Ответ дал: miron2077
0
решение в приложении
Приложения:
Вас заинтересует