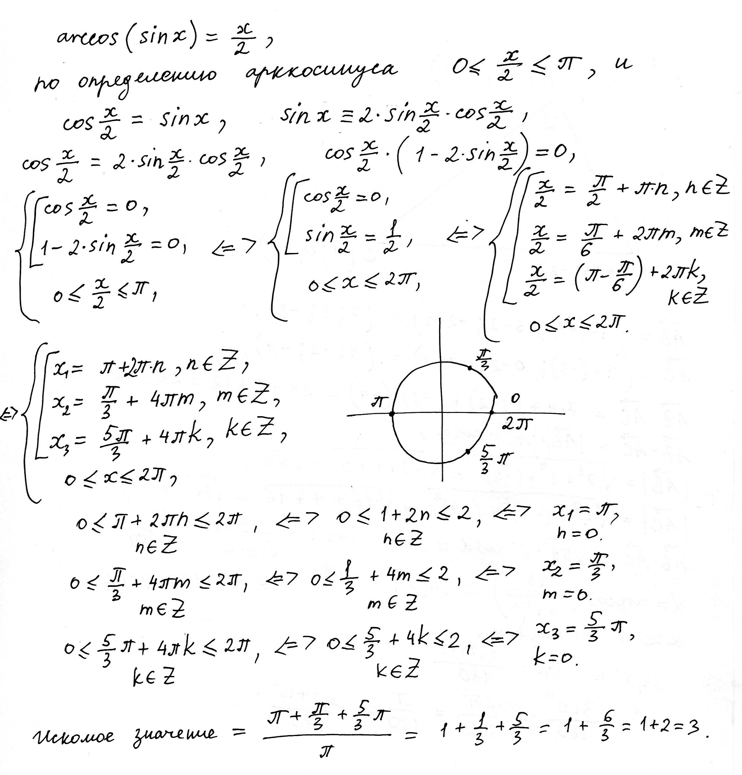
Решить уравнение arccos(sinx)=x/2. В ответ записать значения S/pi, где S - сумма всех корней уравнения.
Ответы
Ответ дал:
0
/см. прикрепленное изображение/, ============>>>>++
Приложения:

Вас заинтересует
2 года назад
2 года назад
7 лет назад
9 лет назад
9 лет назад
10 лет назад