• Предмет: Математика
  • Автор: LikkeDono
  • Вопрос задан 10 лет назад

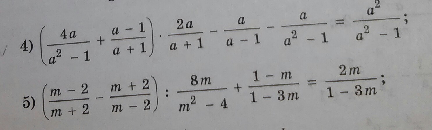
доказать тождество, по действиям, пожалуйста.

Приложения:

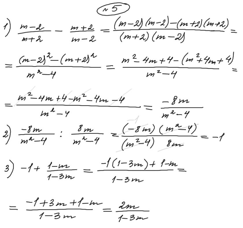
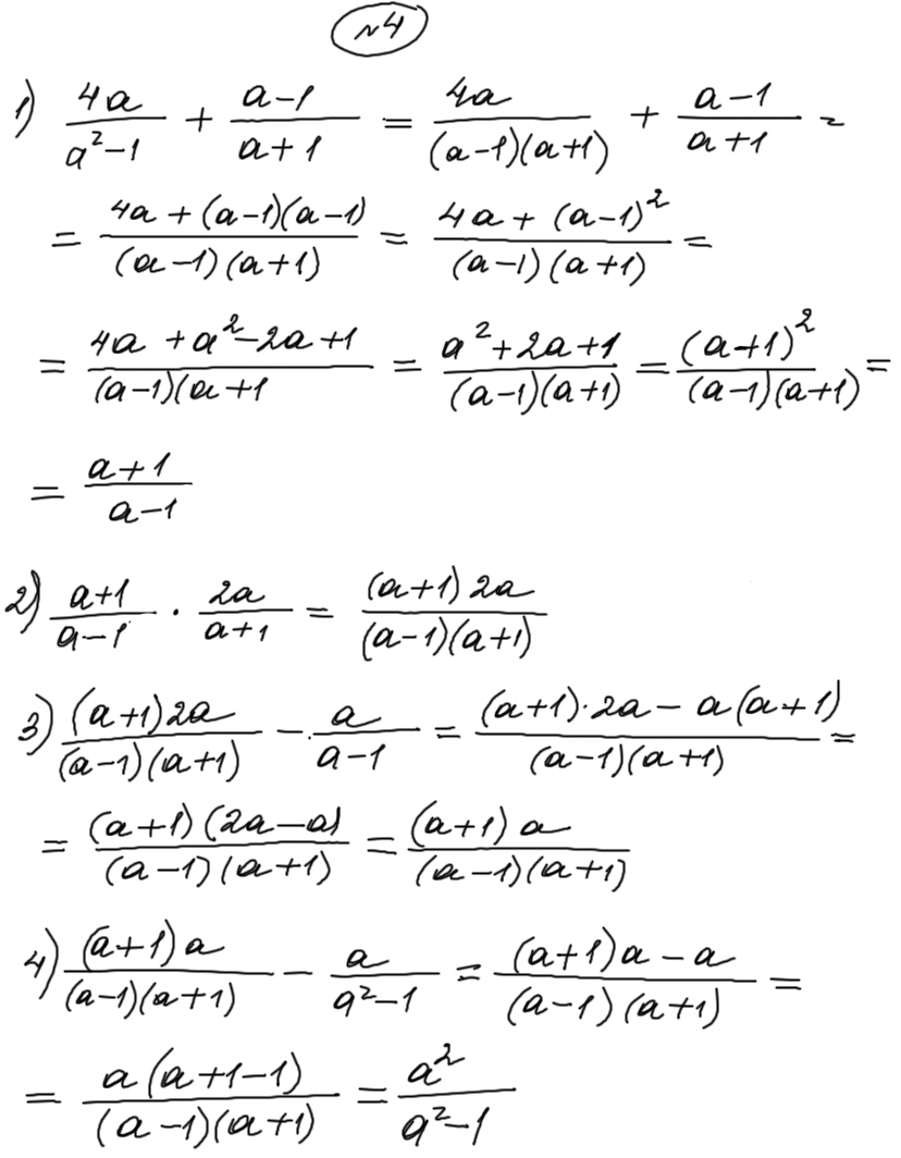
Ответы

Ответ дал: UluanaV
0
Решение в прикрепленном файле.
Преобразовывала левую часть.
Приложения:
Вас заинтересует