• Предмет: Алгебра
  • Автор: abc1238
  • Вопрос задан 9 лет назад

Помогите пожалуйста решить пределы.

Приложения:

Ответы

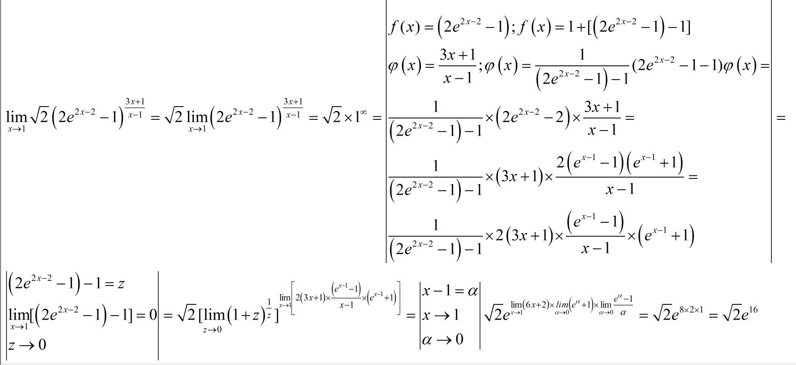
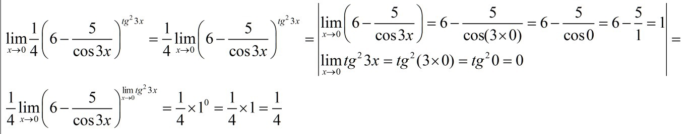
Ответ дал: Аноним
0
решение смотри во вложении
Приложения:
Вас заинтересует