• Предмет: Алгебра
  • Автор: Аноним
  • Вопрос задан 10 лет назад

помогите решить очень срочнооо пожалуйста

Приложения:

Ответы

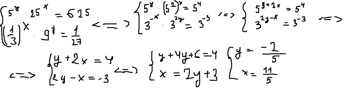
Ответ дал: Greendaizer13
0
Если есть вопросы - задавай
Приложения:
Ответ дал: Аноним
0
как получилось ответ не понятно?
Вас заинтересует